A.P. Schinckel, B.T. Richert, and M.E. Einstein
Department of Animal Sciences
1
Paylean - ractopamine hydrochloiride by ElancoIntroduction
Pork producers have the goal to efficiently produce lean, quality pork to compete with alternative animal products. The implementation of lean value carcass pricing systems has led to the selection of pigs with increased lean growth rates, increased carcass lean percentages and improved lean feed conversion. Health, nutrition, and facility management strategies have been implemented to increase commercially achievable lean growth rates. Paylean (ractopamine hydrochloride by Elanco) is a feed additive that has the potential to further increase the rate and efficiency of muscle tissue growth. Paylean has been approved to be fed at levels of 4.5 to 18 grams per ton (5-20 ppm) from 150 to 240 lbs live weight (last 90 lbs of live weight gain prior to slaughter). The objective of this research was to develop a daily growth model to describe the daily compositional growth of pigs fed alternative levels of Paylean. Future research can utilize this model to evaluate alternative nutrition, management and marketing strategies.
Modeling the Paylean Response
Six parameters were taken into account when modeling the effects of Paylean.
A function was developed to account for the increased fat-free lean gain relative to empty body protein gain as a function of the level of Paylean and relative ractopamine response (RR). New equations were developed to predict the 10th rib fat depth and loin eye areas from the modeled carcass and fat-free lean weight. The compositional growth of gilts fed Paylean was predicted for gilts reared in two environments: (1) SEW, high health management in modern facilities and (2) an older continuous flow facility (Kendall et al., 2000). Compositional growth curves were developed from serial real-time scans and live weights. The Paylean response was modeled for four levels of Paylean, 0, 4.5, 9 and 18 g/ton level from 150 to 240 lbs live weight. The predicted values assume that dietary levels of essential amino acids are adequate for maximum Paylean response.
Results
The predicted performance for the gilts fed the four levels of Paylean are presented in Table 1. Paylean at the 18 g/ton level increased average daily gain by 9% and fat-free lean gain by 42% in both environments. Paylean reduced carcass fat gain 43% in the SEW environment and 36% in the continuous flow environment.
The predicted carcass measurements are presented in Table 2. Gilts fed 18 g/ton Paylean were predicted to contain 8.9 lbs more fat-free lean at market weight. The predicted values are similar to summarized research results (Schinckel et al., 2000). The performance of the continuous flow gilts was much closer to average commercial conditions. For this reason only, the predicted daily growth variable of Paylean fed gilts reared in the continuous flow environment are presented.
The live weight growth response to Paylean increases rapidly, reaches a plateau of approximately .42 lb/day, and then declines (Figure 1). As the live weight gain on Paylean approaches 90 lbs, the Paylean growth response becomes very small.
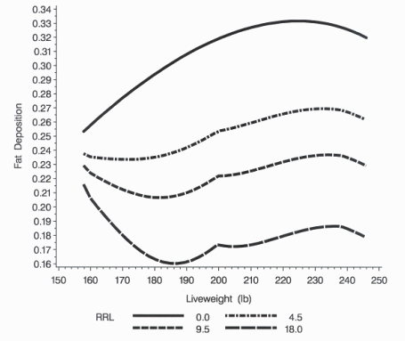
Paylean was predicted to substantially increase fat-free lean growth (Figure 2). Daily predicted fat-free lean gains were approximately 65% greater than pigs not fed Paylean at the point of maximum Paylean response (20-25 lbs live weight gain or 12-15 days on Paylean). Daily predicted protein accretion also increased rapidly with Paylean feeding (Figure 3). Carcass fat gain was substantially reduced by feeding Paylean (Figure 4). The 18 g/ton level results in a substantial reduction in carcass fat gain especially at the time of maximal Paylean response. All levels of Paylean reduced carcass fat gain for the entire feeding period. The marginal growth of fat-free lean to carcass weight is the percent lean with each additional pound of carcass weight gain at each live weight (Figure 5). Paylean was predicted to substantially increase the lean gain percentage. The response was predicted to be greater at the higher levels of Paylean and during the time of maximal Paylean response. Because the marginal rate of fat-free lean to carcass weight was predicted to be greater for pigs fed Paylean, it is expected the advantage for carcass percent lean for Paylean fed pigs versus non-Paylean fed pigs will continue to increase with the duration of Paylean use. Pork producers are also concerned with the feed efficiency. The predicted feed : gain ratios are presented in Figure 6. These predicted feed conversion ratios assume minimal levels of feed wastage and thermal neutral environments. Typically feed intake measured as feed disappearance is 10-15% greater than feed intake predicted from the energetic costs of growth and maintenance. The feeding of Paylean was predicted to substantially reduce feed conversion for the first 50 lbs of live weight gain or in this environment, approximately 28 days of feeding.
Lean feed conversion is the pounds of feed required per pound of fat-free lean gain (Figure 7). Again, the model assumes minimal feed wastage, thermal neutral conditions and nonlimiting dietary levels of essential amino-acids. Lean feed conversion is substantially improved by the feeding of Paylean as the rate of fat-free lean is increased overall and to a lessor extent feed intake decreased. In the gilts not fed Paylean, lean feed conversion increased as the ratio of fat-free lean gain to carcass fat gain decreased.
Implications
The development of a daily compositional growth model of Paylean response will allow the optimization of management, nutrition and marketing strategies. Since Paylean primarily increases muscle mass and changes muscle distribution, the relationships between the carcass measurements and carcass composition are changed when Paylean is fed. The greater extent to which Paylean is fed, level and duration of the use, the greater extent the relationships are expected to change. Additional new research on lean genotypes in different environments can further refine the growth model.
References
Kendall, D.C., B.T. Richert, T.E. Weber, K.A. Bowers, S.A. DeCamp, A.P. Schinckel, and P. Matzat. 2000. Evaluation of pig genotype, strategic use of antibiotics and grow-finish management effects on lean growth rate and carcass characteristics. Purdue University Swine Day Report. p. 60.
Schinckel, A.P., B.T. Richert, and D.C. Kendall. 2000. Modeling the response to Paylean and dietary lysine requirements. Purdue University Swine Day Report. p. 75.
Table 1. Predicted performance for four levels of Paylean in two environments.
| Paylean level | Average  | Fat-free  | Total  | Protein  | Ratio  | 
| SEW - Three sites | |||||
| 0 | 2.12 | .699 | .312 | 131.1 | 2.42 | 
| 4.5 | 2.24 | .840 | .254 | 148.5 | 2.57 | 
| 9 | 2.30 | .920 | .224 | 159.0 | 2.62 | 
| 18 | 2.32 | 1.00 | .178 | 169.1 | 2.68 | 
| Continuous Flow - older facility | |||||
| 0 | 1.59 | .536 | .417 | 100.6 | 2.37 | 
| 4.5 | 1.68 | .645 | .349 | 114.0 | 2.57 | 
| 9 | 1.70 | .686 | .325 | 110.5 | 2.62 | 
| 18 | 1.73 | .751 | .269 | 125.6 | 2.68 | 
Table 2. Predicted carcass measurements for gilts fed four levels of Paylean in two environments.
| Paylean Level | Tenth Rib Fat | Loin Muscle | Percent  | Dressing  | 
| SEW - Three sites | ||||
| 0 | .78 | 6.17 | 49.7 | 75.1 | 
| 4.5 | .70 | 6.50 | 51.8 | 75.8 | 
| 9 | .67 | 6.66 | 52.5 | 76.2 | 
| 18 | .64 | 6.83 | 53.7 | 76.6 | 
| Continuous Flow | ||||
| 0 | .79 | 6.18 | 49.9 | 75.1 | 
| 4.5 | .71 | 6.50 | 51.7 | 75.8 | 
| 9 | .68 | 6.66 | 52.4 | 76.2 | 
| 18 | .63 | 6.90 | 53.6 | 76.6 | 

Figure 1. Predicted impact of Paylean to increase average daily gain of gilts reared with continuous flow management.

Figure 2. Fat-free lean gain of gilts reared in a continuous flow environment.

Figure 3. Predicted daily protein accretion of gilts reared with continuous flow management.

Figure 4. Predicted carcass fat gain or gilts reared in a continuous flow environment.

Figure 5. The predicted marginal growth of fat-free lean relative to hot carcass weight gain.

Figure 6. Predicted feed : gain ratio for gilts fed four alternative levels of Paylean (assume no feed wastage, thermal neutral environment and optimal essential amino-acid levels).

Figure 7. Lean feed conversion ratio of predicted daily fat-free lean gain to daily feed intake for gilts fed four alternative levels of Paylean.